Crafting The Perfect News Reporting Script: A Comprehensive Guide

U.Realtypath 23 views
Crafting The Perfect News Reporting Script: A Comprehensive Guide

Crafting the Perfect News Reporting Script: A Comprehensive Guide

Hey guys! Ever wondered how news anchors deliver those crisp, informative reports that keep you glued to your screens? It’s not just about having a great voice or a charming smile; it’s about the script . A well-crafted news reporting script is the backbone of any successful broadcast. Let’s dive deep into how you can create one that’s both engaging and accurate.

Understanding the Basics of News Reporting

Before we jump into the nitty-gritty of scriptwriting, let’s quickly cover the fundamentals of news reporting. News reporting is all about delivering information in a clear, concise, and objective manner. The goal is to inform the public about current events without injecting personal opinions or biases. This means sticking to the facts and presenting all sides of a story whenever possible.

Accuracy is paramount . Always double-check your sources and verify information before including it in your report. Misinformation can spread like wildfire, especially in today’s fast-paced digital world, and the consequences can be severe. Credibility is everything in news reporting, and once it’s lost, it’s incredibly difficult to regain. You want to be that trusted voice, the source people turn to when they need reliable information.

Another key element is objectivity . As a news reporter, it’s your job to present the facts as they are, without letting your personal beliefs or opinions color your reporting. This can be challenging, especially when covering controversial topics, but it’s essential for maintaining journalistic integrity. Strive to be fair and balanced, presenting all sides of the story and allowing your audience to draw their own conclusions.

Finally, clarity is crucial. Use simple, straightforward language that everyone can understand. Avoid jargon, technical terms, or overly complex sentence structures. The goal is to communicate information effectively, not to impress your audience with your vocabulary. Remember, you’re writing for a broad audience, so keep your language accessible and engaging.

Structuring Your News Reporting Script

Okay, now let’s get to the fun part: structuring your news reporting script. A typical news report follows a specific format, often referred to as the inverted pyramid . This means starting with the most important information and then gradually providing more details.

1. The Lead (or Lede)

The lead is the opening sentence or paragraph of your news report. It’s arguably the most important part of your script, as it needs to grab the audience’s attention and immediately convey the main point of the story. A good lead should answer the five Ws and one H : Who, What, When, Where, Why, and How.

For example, instead of starting with “A fire occurred last night,” a stronger lead would be: “A massive fire destroyed a downtown warehouse last night, leaving dozens homeless and causing millions of dollars in damage.” See the difference? The second lead is much more informative and engaging.

2. The Body

After the lead, the body of your script provides more details about the story. This is where you elaborate on the information introduced in the lead and provide context for the audience. Include relevant facts, figures, quotes, and background information to paint a complete picture of the event. Remember to organize your information logically, using clear and concise language. You can use bullet points, numbered lists, or subheadings to break up the text and make it easier to read.

  • Provide context: Explain the background of the story and why it’s important to the audience.
  • Include quotes: Use direct quotes from sources to add credibility and authenticity to your report.
  • Use visuals: Describe any relevant visuals, such as photos or videos, that will accompany your report.

3. The Tail

The tail is the concluding section of your news report. It’s typically used to wrap up the story and provide a sense of closure. The tail might include information about future developments, such as upcoming meetings or investigations. It could also include a call to action, encouraging viewers to take action or learn more about the topic.

For example, if you’re reporting on a local charity drive, the tail could include information on how viewers can donate or volunteer. Or, if you’re reporting on a new government policy, the tail could include information on how viewers can contact their elected officials to voice their opinions.

Writing Tips for a Compelling News Script

Alright, now that we’ve covered the structure of a news reporting script, let’s talk about some writing tips that will help you create a truly compelling report. These tips will help you engage your audience, maintain their attention, and leave a lasting impression.

1. Keep it Concise

In news reporting, brevity is key. Your audience has limited attention spans, so you need to get to the point quickly and avoid unnecessary fluff. Use short sentences and paragraphs, and cut out any words or phrases that don’t add value to the story. Remember, your goal is to inform, not to entertain. Every word should serve a purpose.

2. Use Strong Verbs

Strong verbs can make your writing more dynamic and engaging. Instead of saying “The company made an announcement,” try saying “The company announced.” Active voice is generally preferred over passive voice, as it makes your writing more direct and impactful.

3. Write for Your Audience

Consider your audience when writing your news reporting script. What’s their level of knowledge about the topic? What are their interests and concerns? Tailor your language and tone to resonate with your audience and keep them engaged. If you’re writing for a general audience, avoid jargon and technical terms. If you’re writing for a more specialized audience, you can use more sophisticated language, but always be mindful of clarity.

4. Read Aloud

Always read your script aloud before finalizing it. This will help you identify any awkward phrasing or grammatical errors. It will also help you get a feel for the rhythm and flow of your script. Pay attention to how your words sound when spoken, and make any necessary adjustments to improve clarity and delivery. This is especially important if you’re planning to deliver the report yourself.

5. Embrace the Active Voice

Opt for the active voice to give your news script a direct and impactful tone. Instead of “The ball was caught by the player,” try “The player caught the ball.” The active voice makes the subject of the sentence clear and the action more immediate. This simple shift can significantly enhance the clarity and engagement of your script.

6. Fact-Check Everything

This cannot be stressed enough: double, triple, and quadruple-check all your facts. Reputable news organizations have fact-checkers for a reason. Ensure names, dates, locations, and statistics are accurate. Credibility is your most valuable asset , and a single factual error can erode trust with your audience.

7. Use Conversational Language

While maintaining a professional tone, aim for conversational language. Avoid overly formal or stilted phrasing. Write as though you’re speaking to a friend or colleague. This will make your script more relatable and easier for viewers to connect with.

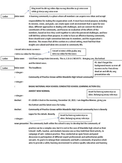
Example of a News Reporting Script

Here’s a simple example of a news reporting script to give you a better idea of how all these elements come together:

(Anchor) : “Good evening, and welcome to the nightly news. Tonight, we lead with the devastating floods that have ravaged the city’s south side.”

(Reporter) : “I’m reporting live from the flood zone where residents are grappling with the aftermath of last night’s torrential downpour. Over 200 homes have been flooded, and emergency services are working around the clock to rescue stranded residents. (Show footage of flooded areas and rescue efforts). Witnesses say the water levels rose rapidly, catching many off guard.”

(Interview Clip) : “(Distressed Resident): We had no warning. The water just came rushing in. We barely had time to grab our kids and get out.”

(Reporter) : “The city council has declared a state of emergency and is urging residents to evacuate low-lying areas. Shelters have been set up at the community center, providing food, water, and temporary housing. (Show location of shelters). Officials are warning that more rain is expected tonight, and the situation remains critical.”

(Anchor) : “Our thoughts are with those affected by the floods. We’ll continue to provide updates as the situation unfolds. Now, let’s turn to our business reporter, Sarah Jones, for a look at today’s market trends.”

Tools and Resources for News Script Writing

To help you on your news script writing journey, here are some useful tools and resources:

  • AP Stylebook: This is the go-to guide for news writing style. It covers everything from grammar and punctuation to word usage and journalistic ethics.
  • Online dictionaries and thesauruses: These can help you find the right words and phrases to express your ideas clearly and concisely.
  • News archives: Studying the work of experienced journalists can provide valuable insights into effective news writing techniques.
  • Grammar and spell-checkers: These tools can help you catch errors and improve the overall quality of your writing.

Final Thoughts

Crafting a compelling news reporting script is a skill that takes time and practice to develop. By understanding the basics of news reporting, mastering the structure of a news report, and following these writing tips, you can create scripts that are informative, engaging, and impactful. So go out there, gather the facts, and tell the stories that matter! Keep practicing and refining your skills, and you’ll be well on your way to becoming a successful news reporter.

Remember, guys, news reporting is a vital public service. It’s our responsibility to inform the public about current events and hold those in power accountable. So take your job seriously, and always strive to deliver the truth with accuracy and integrity.